- 雷達液位計料位計系列產品
- 壓力/液位/差壓/密度變送器
- 液位儀表系列
- 流量儀表系列
- 物位儀表系列
- 液位/溫度/壓力/流量-報警儀
- PLC/DCS自動化控制監控系統
- GPRS無線遠傳裝置
- 有紙/無紙記錄儀系列
- 溫度儀表系列
- 分析儀|檢測儀|校驗儀系列
全國銷售熱線:400-9280-163
電話:86 0517-86917118
傳真:86 0517-86899586
銷售經理:1560-1403-222 (丁經理)
??? ? ? ? 139-1518-1149 (袁經理)
業務QQ:2942808253 / 762657048
網址:http://www.hnbz8.com
電話:86 0517-86917118
傳真:86 0517-86899586
銷售經理:1560-1403-222 (丁經理)
??? ? ? ? 139-1518-1149 (袁經理)
業務QQ:2942808253 / 762657048
網址:http://www.hnbz8.com
淺析運用等離子清清洗方式清除金屬轉子流量計葉片表面附著物
發表時間:2016-12-24 ??點擊次數:1320? 技術支持:1560-1403-222
本文概述:
流量計在使用過程中,特別是象渦輪流量計、金屬管轉子流量計,旋進漩渦流量計等有轉動葉片部件的儀表,因為可動部件直接與流體介質接觸,由于介質中難免會帶有雜質污垢易于吸附的顆粒,當這些顆粒吸附到轉動部件的表面時,就會直接影響了測量精度,因此如何有效地清除這此污垢和附著物就成為一項重要的工作,對流量計的維護保養成為保證測量數據客觀準確的重要手段。通常情況下,有化學試劑清洗法及電磁感應法,但是效果不理想,并且會對部件產生損傷,造成測量精度的下降。本文討論的是應用等金屬流量計葉片清洗方法及等離子清洗技術清洗轉子葉片的可操作性。
金屬轉子流量計作為面積式流量計的一種,具有簡單、直觀、對介質條件要求低等特點,使其在高溫高壓、強腐蝕介質等惡劣流量測量環境下被**使用,金屬轉子流量計的使用較為**,在易燃、易爆、高溫、高壓和強腐蝕介質環境中都可使用。由于測量檢測環境惡劣,為保證測量精度,流量計在投用前準備、使用中的維護和停用后需進行清洗保養。對轉子這種微小精密部件的清洗通常使用化學試劑清洗法及電磁感應法。試劑清洗易產生化學反應效應,電磁感應法則產生電化學現象、極化電勢和觸媒作用,都會影響流量計的測量精度甚至產生二次污染破壞流量計。
等離子清洗是一種全新的高科技技術,利用等離子體轟擊被清洗物表面來達到常規清洗方法無法達到的效果。等離子清洗在橡膠塑料、汽車、電子、醫療、紡織纖維乃至航空航天領域已得到**使用。本文將結合等離子清洗的優勢特點,討論等離子清洗轉子葉片的可行性及技術優勢,為維護金屬轉子流量計提供安全實用的方式方法。
更多的金屬管轉子流量計產品選購與選型,請點擊鏈接>>>>>>>
1流量計量技術及流量計
能量轉換是一切生產過程和科學實驗的基礎,流量和壓力、溫度并列稱為三大檢測參數。對于已知流體,只要掌握這三個參數就可通過計算得出其具有的能量,所以在能量轉換的測量中必須準確測量這三個參數。因此流量計和壓力、溫度儀表一樣成為非常重要的應用。
1.1流量計現狀、分類與常用術語
測量流體流量的儀器為流量計,可測量流量的體積和質量。進入新世紀,由于工業發展對能量計算的需求急劇增長,促使流量儀表在測量原理逐漸成熟背景下發展出多種類型穩定可靠的產品。
傳統流量計有差壓式流量計、容積式流量計、浮子流量計、葉輪式流量計以及插入式流量計。新型流量計有超聲波流量計、流體振動流量計、科里奧利質量流量計、熱式流量計、電磁流量計等。雖然現有流量計種類眾多并各具特點,但是研發一種適應所有測量需求的流量計依然是業界追求的目標。
流量計常用術語有流量范圍、儀表系數、流量系數、壓力損失、線性度、誤差與精度、重復精度。
1.2轉子流量計結構
轉子流量計主要由表頭與主體兩部分組成,主體結構如圖1所示。單轉子流量計主體結構
1.3轉子流量計工作原理及誤差特性
轉子流量計一部分是由下至上逐漸擴大的錐管,另一部分是錐管中可以上下自由移動的轉子。工作中被測流體經錐管下端流入沖擊轉子所產生的作用力將轉子托起升高。同時,被測流體流經錐形管壁間的環形斷面,從上端流出。轉子受力處于平衡狀態停留在某一高度位置與所通過的流量有相對應的關系。所以,通過觀測轉子在錐形管中的位置來求得當時的流量值。
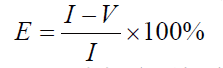
流量計基本誤差表示為:
由于實測時V是未知的,所以常用相對誤差來表示:

V=Nv式中I流量計示值;V實際通過流量計值;N計量元件旋轉次數;v每轉一周排除流體體積。
2流量計維護
流量計的維護中對儀器設備元件的清洗是保證其正常工作的重要手段。安全的維護保養工作可保證儀器的測量精度,延長使用壽命,減少對工作、自然環境污染。
2.1等離子清洗技術
等離子清洗plasmacleaner也叫等離子表面處理。等離子體是物質的第四態,不同于物質的固液汽三態,等離子體包括離子、電子、原子、活性基團、激發態的核素(亞穩態)、光子等。等離子清洗即是利用這些活性組分來處理清洗物表面,實現清潔、涂覆、改性、光刻膠灰化的目的。其工作原理是在真空腔室中,射頻電源在壓力下起輝產生無序的高能量等離子體轟擊被清洗物體表面。清洗結構由控制單元、真空腔及真空泵組成。其中控制電源頻率有40KHz、13.56MHz、2.45GHz三種,系統控制有半自動控制、電腦控制、PLC控制。真空腔由不銹鋼及石英腔兩種材質,真空泵也分干泵和油泵兩種。
2.2等離子清洗技術優勢
⑴經等離子清洗后被清洗物是干燥的,無需像其它清洗方法再進行干燥處理,提高效率。
⑵使操作者遠離有害試劑的危害,降低對環境的污染。
⑶避免濕法清洗的直接接觸使微小精密部件破損變形。
⑷等離子體的無序性使它可以深入清洗微細孔眼及凹陷部位,對清洗物形狀沒有要求且清洗效果優于試劑清洗。
⑸工藝流程短,只有幾分鐘,極大提高效率。
⑹工作真空條件約100Pa,容易達到要求,設備成本低性價比高于有機溶劑洗發。
⑺適用材料**,金屬、半導體、氧化物、聚氯乙烯、聚四氟乙烯、聚酰亞胺、聚酯、環氧樹脂等高聚物都可以適用等離子體處理。
⑻可改善材料表面性能,提高潤濕性和膜粘著力等。
2.3等離子清洗技術應用
清洗設備產生的等離子體在真空環境下的活性能量幾乎破壞所有的化學鍵,在所有暴露表面引起化學反應。清洗過程中,無機氣體被激發為等離子態,氣相物質吸附在固體表面,被吸附基團與固體表面分子解析形成氣相,反應殘余物脫離表面。
實驗中,金屬轉子葉片上的水、泥附著物徹底得到清除,去除表面難揮發油污,提高了表面活性。通過測量,轉子的重量、顯微形狀、表面平整度都沒有明顯變化。使用效果全方位優于試劑清洗法。
3文章結語
等離子清洗技術在橡膠行業應用也非常成熟,實驗中借鑒其它行業領域的應用經驗,解決了清洗金屬轉子體積小、形狀特殊、易腐蝕變形等難題。使清洗轉子葉片達到高效、簡單、安全的目的。使離子清洗技術的應用更加普及并拓寬了范圍。
上一條:單法蘭液位變送器和雙法蘭液位變送器在測量中的相同和不同點
下一條:在雷達液位計測量過程中可能會出現哪些問題
流量計在使用過程中,特別是象渦輪流量計、金屬管轉子流量計,旋進漩渦流量計等有轉動葉片部件的儀表,因為可動部件直接與流體介質接觸,由于介質中難免會帶有雜質污垢易于吸附的顆粒,當這些顆粒吸附到轉動部件的表面時,就會直接影響了測量精度,因此如何有效地清除這此污垢和附著物就成為一項重要的工作,對流量計的維護保養成為保證測量數據客觀準確的重要手段。通常情況下,有化學試劑清洗法及電磁感應法,但是效果不理想,并且會對部件產生損傷,造成測量精度的下降。本文討論的是應用等金屬流量計葉片清洗方法及等離子清洗技術清洗轉子葉片的可操作性。
金屬轉子流量計作為面積式流量計的一種,具有簡單、直觀、對介質條件要求低等特點,使其在高溫高壓、強腐蝕介質等惡劣流量測量環境下被**使用,金屬轉子流量計的使用較為**,在易燃、易爆、高溫、高壓和強腐蝕介質環境中都可使用。由于測量檢測環境惡劣,為保證測量精度,流量計在投用前準備、使用中的維護和停用后需進行清洗保養。對轉子這種微小精密部件的清洗通常使用化學試劑清洗法及電磁感應法。試劑清洗易產生化學反應效應,電磁感應法則產生電化學現象、極化電勢和觸媒作用,都會影響流量計的測量精度甚至產生二次污染破壞流量計。
等離子清洗是一種全新的高科技技術,利用等離子體轟擊被清洗物表面來達到常規清洗方法無法達到的效果。等離子清洗在橡膠塑料、汽車、電子、醫療、紡織纖維乃至航空航天領域已得到**使用。本文將結合等離子清洗的優勢特點,討論等離子清洗轉子葉片的可行性及技術優勢,為維護金屬轉子流量計提供安全實用的方式方法。
更多的金屬管轉子流量計產品選購與選型,請點擊鏈接>>>>>>>
1流量計量技術及流量計
能量轉換是一切生產過程和科學實驗的基礎,流量和壓力、溫度并列稱為三大檢測參數。對于已知流體,只要掌握這三個參數就可通過計算得出其具有的能量,所以在能量轉換的測量中必須準確測量這三個參數。因此流量計和壓力、溫度儀表一樣成為非常重要的應用。
1.1流量計現狀、分類與常用術語
測量流體流量的儀器為流量計,可測量流量的體積和質量。進入新世紀,由于工業發展對能量計算的需求急劇增長,促使流量儀表在測量原理逐漸成熟背景下發展出多種類型穩定可靠的產品。
傳統流量計有差壓式流量計、容積式流量計、浮子流量計、葉輪式流量計以及插入式流量計。新型流量計有超聲波流量計、流體振動流量計、科里奧利質量流量計、熱式流量計、電磁流量計等。雖然現有流量計種類眾多并各具特點,但是研發一種適應所有測量需求的流量計依然是業界追求的目標。
流量計常用術語有流量范圍、儀表系數、流量系數、壓力損失、線性度、誤差與精度、重復精度。
1.2轉子流量計結構
轉子流量計主要由表頭與主體兩部分組成,主體結構如圖1所示。單轉子流量計主體結構
1.3轉子流量計工作原理及誤差特性
轉子流量計一部分是由下至上逐漸擴大的錐管,另一部分是錐管中可以上下自由移動的轉子。工作中被測流體經錐管下端流入沖擊轉子所產生的作用力將轉子托起升高。同時,被測流體流經錐形管壁間的環形斷面,從上端流出。轉子受力處于平衡狀態停留在某一高度位置與所通過的流量有相對應的關系。所以,通過觀測轉子在錐形管中的位置來求得當時的流量值。
流量計基本誤差表示為:
由于實測時V是未知的,所以常用相對誤差來表示:

V=Nv式中I流量計示值;V實際通過流量計值;N計量元件旋轉次數;v每轉一周排除流體體積。
2流量計維護
流量計的維護中對儀器設備元件的清洗是保證其正常工作的重要手段。安全的維護保養工作可保證儀器的測量精度,延長使用壽命,減少對工作、自然環境污染。
2.1等離子清洗技術
等離子清洗plasmacleaner也叫等離子表面處理。等離子體是物質的第四態,不同于物質的固液汽三態,等離子體包括離子、電子、原子、活性基團、激發態的核素(亞穩態)、光子等。等離子清洗即是利用這些活性組分來處理清洗物表面,實現清潔、涂覆、改性、光刻膠灰化的目的。其工作原理是在真空腔室中,射頻電源在壓力下起輝產生無序的高能量等離子體轟擊被清洗物體表面。清洗結構由控制單元、真空腔及真空泵組成。其中控制電源頻率有40KHz、13.56MHz、2.45GHz三種,系統控制有半自動控制、電腦控制、PLC控制。真空腔由不銹鋼及石英腔兩種材質,真空泵也分干泵和油泵兩種。
2.2等離子清洗技術優勢
⑴經等離子清洗后被清洗物是干燥的,無需像其它清洗方法再進行干燥處理,提高效率。
⑵使操作者遠離有害試劑的危害,降低對環境的污染。
⑶避免濕法清洗的直接接觸使微小精密部件破損變形。
⑷等離子體的無序性使它可以深入清洗微細孔眼及凹陷部位,對清洗物形狀沒有要求且清洗效果優于試劑清洗。
⑸工藝流程短,只有幾分鐘,極大提高效率。
⑹工作真空條件約100Pa,容易達到要求,設備成本低性價比高于有機溶劑洗發。
⑺適用材料**,金屬、半導體、氧化物、聚氯乙烯、聚四氟乙烯、聚酰亞胺、聚酯、環氧樹脂等高聚物都可以適用等離子體處理。
⑻可改善材料表面性能,提高潤濕性和膜粘著力等。
2.3等離子清洗技術應用
清洗設備產生的等離子體在真空環境下的活性能量幾乎破壞所有的化學鍵,在所有暴露表面引起化學反應。清洗過程中,無機氣體被激發為等離子態,氣相物質吸附在固體表面,被吸附基團與固體表面分子解析形成氣相,反應殘余物脫離表面。
實驗中,金屬轉子葉片上的水、泥附著物徹底得到清除,去除表面難揮發油污,提高了表面活性。通過測量,轉子的重量、顯微形狀、表面平整度都沒有明顯變化。使用效果全方位優于試劑清洗法。
3文章結語
等離子清洗技術在橡膠行業應用也非常成熟,實驗中借鑒其它行業領域的應用經驗,解決了清洗金屬轉子體積小、形狀特殊、易腐蝕變形等難題。使清洗轉子葉片達到高效、簡單、安全的目的。使離子清洗技術的應用更加普及并拓寬了范圍。
上一條:單法蘭液位變送器和雙法蘭液位變送器在測量中的相同和不同點
下一條:在雷達液位計測量過程中可能會出現哪些問題
- 相關文章
-
- 雷達液位計的作用 【2025-11-18】
- 雷達液位計使用注意事項 【2025-11-18】
- 雷達液位計安裝注意事項全解析 【2025-11-14】
- 雷達液位計工作原理及相關說明 【2025-11-14】
- 差壓變送器高于*低液位 【2023-12-31】
- 液位變送器可以控制調節閥么 【2023-12-19】
- 液位變送器北京澳升 【2023-12-29】
- 液位變送器供應商家 【2023-12-30】
- 液位變送器電纜型號 【2023-12-30】
- 噪聲對超聲波流量計測量產生的影響及解決辦法 【2015-08-28】








